
※ 본 내용은 유튜브 채널 '책밖과학'에서 제공하며, 타 블로그 및 유튜브 채널에서의 사용을 절대 금지합니다.
우리 은하뿐만 아니라 다른 은하에도 행성들이 존재하고 있을까요?
대부분의 사람들이 다른 은하에도 당연히 행성이 존재한다고 생각하고 있을 겁니다.
그런데 사실 여러분들은 다른 은하에 존재하는 행성을 본적이 없습니다.
왜냐하면 다른 은하에서 행성이 발견된 적이 지금까지 단 한번도 없기 때문이죠.
과연 다른 은하계에도 우리의 태양계와 같은 행성계가 정말로 존재하고 있을까요?
과학자들은 천문 역사상 처음으로 다른 은하에서 행성의 흔적을 찾았습니다.
이 흔적은 우리에게서 약 3,100만 광년 떨어진 M51이라는 은하에서 발견되었죠.

처음에 과학자들은 이 은하에서 X선을 뿜어내고 있는 한 쌍성을 발견했습니다.
이 쌍성의 이름은 M51-ULS-1이며, 중성자 별 또는 블랙홀과 거대한 별로 이루어져 있었습니다.
그리고 주성인 중성자 별 또는 블랙홀은 근처에 있던 동반성인 거대한 별의 물질을 빨아들이고 있었는데요.
바로 이 과정에서 아주 강렬한 X선을 우주로 뿜어내고 있었던 겁니다.
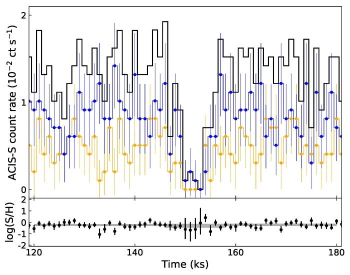
또한 관찰기긴 동안 이 쌍성의 밝기는 거의 일정하게 유지가 되고 있었습니다.
딱 한번 3시간 동안 급격히 어두어졌던 것을 제외하고는 말이죠.
더 흥미로운 점은, 쌍성의 밝기가 어두워지자 감지되고 있던 X선의 양도 0으로 떨어져 버렸다는 겁니다.
쌍성의 밝기가 갑자기 어두워지고 X선의 방출량이 0으로 떨어지는 현상...

과학자들은 이 현상이 쌍성 자체에서 일어나는 현상으로 보기 어렵다고 결론내렸습니다.
그 이유는, 어두워진 쌍성의 밝기와 X선의 양이 3시간 후에 완전히 회복이 되었기 때문입니다.
이는 외부에 존재하는 무언가가 이 쌍성을 3시간 동안 가리고 있었다고 보는게 훨씬 더 자연스럽습니다.
쌍성이 방출하는 X선은 아주 좁은 영역에서 만들어지기 때문에, 무언가가 그 근처를 지나갔다면 쉽게 가려질 수 있죠.
이 쌍성을 3시간 동안 가리고 있었던 천체의 정체는 과연 무엇이었을까요?
그 주변에 있던 가스 구름이었을까요? 아니면 그 근처에 있던 거대한 다른 별 때문이었을까요?
과학자들은 토성 크기의 행성이 이 쌍성을 대략 수십 천문단위(AU) 앞에서 지나갔을 것이라고 결론 내렸습니다.

예전부터 과학자들은 트랜짓(Transit)이라는 방법을 이용해 외계 행성들을 발견해 왔는데요.
트랜짓은 행성이 중심별 앞쪽으로 지나갈 때 미묘하게 변하게 되는 별의 밝기를 이용해 행성을 찾아내는 방법입니다.
이 방법을 이용해 지금까지 약 4000개 이상의 외계 행성을 찾아낼 수 있었죠.
그런데 이 쌍성의 어두워지는 패턴이 그 동안 외계 행성을 발견했던 트랜짓 데이터와 아주 유사했습니다.
물론, 이 천체를 행성으로 확정하기에는 직접적인 증거가 조금 부족하기는 합니다.
M51-ULS-1의 밝기와 X선이 줄어드는 현상이 여러번 관측이 되어야 좀 더 확실해 질텐데요.
하지만 현재 계산된 궤도로 봤을 때 이 현상은 대략 70년 후에나 다시 관측이 가능할 것으로 생각되고 있습니다.
즉, 사실상 검증이 불가능하기 때문에, 과학자들은 우리 은하를 비롯한 전 우주에서 이러한 "X선 식 현상"을 찾고 있습니다.
만약 X선 식 현상을 찾아서 이번과 동일한 데이터를 얻을 수 있다면, M51-ULS-1b 행성의 존재가 입증되는 겁니다.

아직 직접 증거가 나오지는 않았지만, 과학자들은 매우 긍정적으로 생각하고 있습니다.
일단 이번에 진행된 관측이 아주 소규모로 진행이 되었다는 점에서 그런데요.
소규모의 관측에서 X선 식 현상이 발견되었다는 것은, 이러한 현상이 우주에서 아주 빈번하게 발생되고 있을 가능성이 높기 때문입니다.
그리고 X선 일식은 다른 은하에 존재하는 행성의 가장 강력한 흔적일 수 있죠.
어쩌면 다른 은하에도 우리 태양계와 같은 다양한 행성계가 존재하고 있을지도 모릅니다.
https://youtu.be/E7Wca55kEoo?si=-Ozm3sxbQo2lRZhZ
2021.10.05 - [자연・우주] - 우주에서 발견된 가장 극단적인 외계 행성 6개(분야별 최고의 행성)
우주에서 발견된 가장 극단적인 외계 행성 6개(분야별 최고의 행성)
그동안 과학자들은 정말 놀라운 행성들을 많이 발견해왔습니다. 태양만큼 뜨거운 행성에서부터 우주의 나이 만큼이나 엄청나게 오래된 행성까지... 이번 시간에는 각 분야별로 가장 극단적인
livelive.tistory.com
2021.09.24 - [자연・우주] - 화성에 물이 없는 것은 "처음부터 정해진 운명" 이었다.
화성에 물이 없는 것은 "처음부터 정해진 운명" 이었다.
태양계에서 지구와 가장 유사한 환경을(그나마...) 가지고 있는 행성, 화성. 먼 옛날의 화성은 지구처럼 많은 물을 가지고 있었던 푸른 행성이었을 겁니다. 우리는 화성의 표면에 남아있는 많은
livelive.tistory.com
2021.09.04 - [자연・우주] - 100억년 동안 은하계를 돌고 있는 수수께끼의 물체
100억년 동안 은하계를 돌고 있는 수수께끼의 물체
최근 과학자들은 이전에는 본적이 없는 아주 이상한 천체를 발견했습니다. 발견 당시 이 천체는 우리 은하계를 아주 빠른 속도로 이동하고 있었는데요. 과학자들은 이 천체가 지금까지 우리가
livelive.tistory.com
| 과학자들은 화성에서 새로운 유기분자를 발견했습니다. (0) | 2021.11.09 |
|---|---|
| 우주에서 가장 끔찍한 환경을 가지고 있는 지옥 행성 6 (1) | 2021.11.05 |
| 깊은 우주에서 감지된 1,652개의 강력한 정체불명의 신호들 (0) | 2021.10.19 |
| 금성은 단 한번도 액체 형태의 물을 가져본 적이 없습니다. (1) | 2021.10.16 |
| 40억 년의 미래까지 실제로 일어나게 될 사건들(40억년 후의 지구) (0) | 2021.10.14 |